
近日,智能感知与数字孪生团队、智慧城市公共安全团队以“Extraction of Line Surge Arresters from UAV LiDAR point clouds based on multi-view structural features”(基于多视角结构特征的无人机激光雷达点云线路型避雷器提取)为题,在期刊《International Journal of Applied Earth Observation and Geoinformation》(中科院一区Top)发表研究论文,作者为陈茂霖副教授、研究生邓龙宝、牟凤云教授和姬翠翠副教授。
随着无人机技术的普及,搭载激光雷达进行电力通道巡检已成为保障电网安全的重要手段。然而,在海量的三维点云数据中,如何精准识别和提取关键电力部件仍面临巨大挑战。特别是线路型避雷器(Line Surge Arresters, LSAs),由于其物理尺寸小、点云密度稀疏,且在结构上与绝缘子、跳线等组件高度相似,长期以来一直是自动化点云处理中的“盲区”。该研究针对此难题,提出了一种基于多视图结构特征的线路型避雷器自动提取框架,并开源了相关点云数据集,为智能电网的精细化巡检与三维重建提供了新的解决方案。

图1 技术路线图
研究团队发现,尽管线路型避雷器在局部几何特征上难以区分,但其相对于电力线的对角安装方向以及在多视图投影下的密度分布具有显著的独特性。基于此,论文提出了两大核心算法模块:
(1)基于核密度估计的精准识别:在初步分离杆塔与电力线后,算法利用避雷器的对角分布特性,通过宽度阈值过滤和核密度估计技术,从单根电力线中准确捕捉线路型避雷器的存在。该方法能够有效区分仅包含导线的普通电力线和包含线路型避雷器的复杂单根电力线,其识别准确率高达98.28%。
(2)基于粒子群优化的精细提取:为了从复杂单根电力线中精确分割出线路型避雷器点云,构建了一个包含输电紧凑度指数(TCI)和轴向均匀度指数(AUI)的结构一致性目标函数。利用粒子群优化算法在特征空间中搜索最佳分割平面,从而实现了线路型避雷器与导线、绝缘子的精确分离。

图2 基于核密度估计的线路型避雷器识别


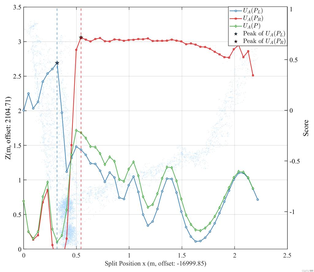
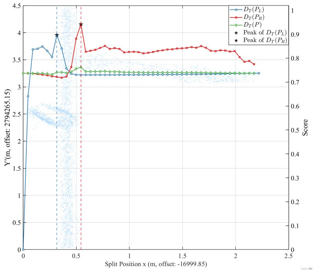
图3 TCI、AUI指标与分割位置间的关系

图4 提取结果图
本研究得到中国国家自然科学基金(42301459)、自然资源部地理国情监测重点实验室开放基金资助课题(2025NGCM04)、重庆市自然科学基金(CSTB2024NSCQ-MSX0652)以及重庆市研究生导师团队建设项目(JDDSTD2022002)的资助。
引用信息:Chen M, Deng L, Mu F, et al.Extraction of line Surge Arresters from UAV LiDAR point clouds based on multi-view structural features[J]. International Journal of Applied Earth Observation and Geoinformation, 2025, 144: 104950.
DOI:https://doi.org/10.1016/j.jag.2025.104950
论文链接:https://www.sciencedirect.com/science/article/pii/S1569843225005977
开源数据集链接:https://github.com/c175044/Line-Surge-Arresters-datasets